Displaying reports 77401-77420 of 86500.Go to page Start 3867 3868 3869 3870 3871 3872 3873 3874 3875 End
Reports until 16:46, Saturday 18 January 2014
H1 ISC
sheila.dwyer@LIGO.ORG - posted 16:46, Saturday 18 January 2014 (9381)
PDH signals from low finesse arm cavity confused by higher order modes

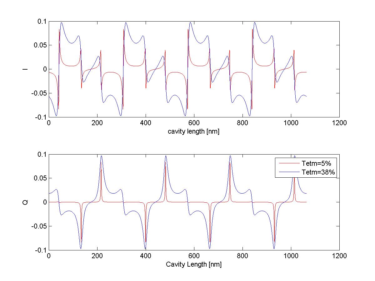
With the difficulty we had been having locking the green arm stably, there was some speculation about what the difference in the ETM transmission from the design of 5% would mean for our locking.  Here are a few plots of pdh signals and resonance profiles for the cavity we have. 

First, the IQ scatter plot we see doesn't look anything like a PDH signal I am used to.  There was some speculation that this is caused by Doppler fringing.  Using the equation 20 from P000017 the critical velocity for doppler effects with our etm is 200um/second, (about 800 fringes per second!) so we were never in this regime.  (if the transmission of the ETM was 5%, this velocity would have been 3um second, which would have been reasonable with the motion that we had on thursday and before)  Since Hugh's changes to the ISIs yesterday we are seeing about 3 fringes/ second when it is fast, (more often 1 or 2 fringes) so our cavity length is changing at about 0.8um/second at most.

Here  is an IQ plot of the PDH signals (units not meaningful) for an ETM transmission of 1% (normal looking), 5% (lobes from sidebands are becoming large) and 38% (our situation).  

Even though that looks strange, it still seems like an OK signal for locking to if the demod phase is tuned correctly: Plot  (In this plot I have used a different demod phase for the low finesse cavity than the one showing the design)

We also have been wondering how we are going to measure the modulation depth, since we do not have an OSA that works for green light.  At some point we tried to lock on a sideband to have a look at the transmitted power relative to the 00 mode.  The power we saw would have suggested a ridiculously high modulation depth.  I believe that we might have been fooled by the camera image and were really locked onto a first order mode.

Keita suggested that I check if we really lock to the side band resonance when by flipping the sign of our servo.  We would if the demod phase is tuned correctly and we didn't have higher order modes. Plot  (This plot shows the shape of the resonance profiles for the carrier and each sideband against the PDH signal, the vertical scale is not meaningfull.  The lower panel shows what happens with the wrong demod phase).   I made the same plot for a higher finesse (Tetm=1%) where the sidebands are resonant when the cavity is locked with the sign flipped, even for the wrong demod phase.

We also wondered if our low finesse would mean that higher order modes would be resonant when the cavity is locked.  Here is a plot of resonance profiles for the first 7 higher order modes.  The top panel shows Tetm=5%, the bottom panel Tetm=38%.  The only of these modes that is resonant with the carrier is the lower sideband of the 5th order modes, which we should be able to keep small once we have a good alingment.  

The last few plots are what higher order modes do to our locking signals. Here is an IQ scatter plot and the locking signal with resonance profiles of the carrier and sidebands when 10% of the power is in a second order mode.   With a mode mismatch like this we still get reasonable locking signal.  

I had a look at some of our cavity transmission peaks , and made a rough approximation of the higher order mode content.  Here are plots of the PDH signals (with my approximation of the transmission profile in the bottom panel) and an IQ plot.   These are both with the demod phase tuned for the 00 mode with our finesse (by using the plot without higher order modes).  

Daneil and I took a video when we were at the X end last night of our actual IQ scatter plot, which looks about as crazy as the prediction above. 

The next two plots are what the IQ plot and PDH signals would look like with my approximation of our higher order mode content and the intended ETM reflectitvy of 5%.  The higher order mode content doesn't totally confuse the locking signal the way that it does with the lower finesse.  

I think that Yuta has some similar plots, and maybe has tried to actually match some of the PDH signals that we see.  

In all of these plots I used: 

Tetm=0.38;
Titm=0.01;
RoCetm=2241.54;
RoCitm=1939.52;
Length=3996;
Gamma=0.1 
 
In all of the plots that say "cavity length" along the horizontal axis, it is of course the microscopic change in cavity length that is plotted, not the total cavity length.  
T1=0.38;
cav.T2=0.01;
cav.RoC1=2241.54;
cav.RoC2=1939.52;
cav.L=3996;
Images attached to this report
Non-image files attached to this report
H1 General (ISC)
sheila.dwyer@LIGO.ORG - posted 14:24, Saturday 18 January 2014 (9382)
at X end

Since the fringe velocity is so much less than it has been ( 1-3 per second) after Hugh's changes yesterday, I decided to see if I could adjust the demod phase by looking at the open loop gain.  I went to the end station from about 1:45 to 2:11.  This wasn't verry sucsessfull since the cavity wasn't well alinged and I couldn't see any cameras to know what mode it was locked to.  I'm back at the corner now.

H1 ISC
stefan.ballmer@LIGO.ORG - posted 00:11, Saturday 18 January 2014 (9380)
First round of IAL alignment (PIT)
I tried the PZT dither today:
- The green arm transmitted signal is now available in the ASC system
  (ADC card 3, channel 24-27 [25-28], are connected to output 1-4 form the the ALS PD concentrator 3) 
- I used the demodulated green arm transmitted signal for all the loops I tried today.
- Dithering PZT2 provided a nice error signal for TMS pointing.
- Dithering PZT1 gave an error signal that I couldn't zero out - not sure why yet. (TMS position offset?)
- Dithering ITM at 1.7 Hz provided a good loop for aligning ITMY.
- The loop did a good job aligning the cavity, but mode-hopping was still hampering the effort.


Still to do:
- Try higher frequency ITM dither (lower stage drive?)
- Investigate PZT1 dither error signal offset - Try Green QPD pointing offset?
- Do yaw loops.
H1 ISC
stefan.ballmer@LIGO.ORG - posted 23:56, Friday 17 January 2014 (9379)
arm modulation frequerncy
Yuta, Kiwamu, Koji, Stefan

- Yuta's calculation (see other alog) showed that the error signal significantly depends on the modulation frequency.
- We therefore used and IFR to try several choices of frequencies.
- We measured the FSR at
  24.429380MHz +-20Hz, and
  24.391480MHz +-20Hz
- This gives us an arm length of 3992.973m +-6m....
- The estimated transverse mode spacing is 5.12kHz.    (R_ITM=1939.52m, R_ETM=2241.54m)
- We tried to set the frequency to exactly FSR +- 5.076kHz (an old estimate of the transverse mode spacing), as well as half of that.
  Subjectively the best performance (least mode hopping) was at 24.424304MHz. It was not perfect.

Still to do:
 - Find a spot with minimal locking point dependence on the 10-mode power.
 - Explore the I/Q demod phase.
H1 General (ISC)
sheila.dwyer@LIGO.ORG - posted 21:23, Friday 17 January 2014 (9378)
X end work

Daniel and I went out to the X end at 5, and were back at 6:30.  we measured the PDH TF now that the loop is staying locked for longer due to less motion, we saw a UGF around 2kHz with lots (around 70 degrees) of phase margin.  We also connected I mon of the FET demod to H1:LSC-X_EXTRA_AI_1_OUT_DQ and Q mon to H1:LSC-X_EXTRA_AI_2_OUT_DQ. 

H1 IOO
kiwamu.izumi@LIGO.ORG - posted 18:48, Friday 17 January 2014 (9377)
PRM parking beam found and parking position re-estiablished

Stefan, Yuta, Kiwamu

As a part of the 10 W preparation, we searched for the PRM parking beam and re-established the parking position.

After some time of steering PRM, we found it hitting on the in-vac aperture which was attached to the inner ceiling of the HAM2 chamber. We could see it from the left most lower viewport of the east side with an IR viewer. We centered the parking beam on the aperture to re-establish the parking position.

The new parking position for PRM is:

With this parking position, I was able to see the beam at the south ceiling viewport with a sensor card. The beam was round which indicated that the beam was not clipped. Indeed, I didn't see any scattered light in HAM2 as far as I looked from the lower side viewports. I took some pictures of the ceiling viewport and its canister. Note that the sensor card attached on the inner wall of the canister was removed after the pictures were taken.

I consulted with Gerardo about possibility of mounting a Kentek beam dump today without removing the lexan plate. However since the beam is so low in the canister with an agressive angle, we agreed that the dump will not fit it without a trick -- the beam is close to the lexan plate and it just hits the guard ring due to its output angle. We need to come up with a better idea to mount a dump.

Images attached to this report
H1 SEI
hugh.radkins@LIGO.ORG - posted 18:11, Friday 17 January 2014 (9376)
ETMX ISI Damping vs Isolation

I have a pretty coarse plot of spectra for the ETM interial sensors with damping only and then with 750mHz Blend level1 Isolation compared.  Not a lot happening in the area of interest below ~1Hz.  I did notice that the Rz was worse though.  This shows up mostly below 0.4Hz.  Stefan removed the Rz Isolation but it only recovers about half way back to the damping only spectra.  There is also the cost of noise between 1 & 2 Hz.  The Reference traces are the damping only except the Rz reference 14 & 20.  These two are the 750mHz spectra with the Rz in the loop.  The Current traces are with the Rzs out of the loop.  The next time the ISI is brought back to isolation, the Rz will be back in.  It doesn't sound like removing the Rz made anyone especially happy.  I wanted to take the ISI to greater levels of isolation but the commissioners said they'll work with this for now.

Before going back to damping only I took the isolation from 750mHz everywhere expect Stage1 X Y & Rz where there was 100mHz blends down to T100mHz (T240s included) on the horz dofs.  This did not improve the situation.  I've noticed too that sometimes the scripts stall part way through and with out the script window popping up to show the status, some states may not be what they seem.

Images attached to this report
LHO General
thomas.vo@LIGO.ORG - posted 17:35, Friday 17 January 2014 (9374)
01/17/2014 Ops Summary
PSL Checklist was OK

Before 8 AM:
- Balers were removing tumbleweeds up and down the X-arm.

9:23AM  - 9:45AM Richard M in the PSL to install Lighthouse dust monitor
9:24AM  - 9:56AM Kiwamu rotates the HWP in the PSL to dial down power to 100 mW
9:30AM  - 9:45AM Gerardo in the LVEA to survey viewports at HAM2
11:11AM - 3:35PM Fil and crew in LVEA pulling cables to ISC racks.
1:14PM  - 4:00PM SEI at HAM4
1:36PM  - 3:00PM Corey at EY in TMS lab.
H1 IOO
duncan.macleod@LIGO.ORG - posted 16:37, Friday 17 January 2014 - last comment - 14:56, Thursday 23 January 2014(9373)
Updated ODC settings for IMC
[Jeff K, Stefan B, + detchar]

The bitmask defining the summary bit for the Input Mode Cleaner state-vector (ODC) has been trimmed to respond to only those bits recording the ASC WFS switch (bit 1), and the relative power indicators (bits 11 and 12). In this mode glitches in the WFS alignment will be recorded by the relevant bits 2-9 but won't affect the summary bit, and a low-power mode will still result in summary=GOOD. This was tested first at LLO and logged here.

This hasn't been set in the safe.snap, but will be monitored and coordinated over the next few days.
Comments related to this report
laura.nuttall@LIGO.ORG - 14:56, Thursday 23 January 2014 (9502)
We confirmed that when the WFS alignment (mainly DOF2 Pitch and DOF1 Yaw) strays outside of the thresholds set, it does not have a noticeable affect on the calibrated length of the cavity. Attached are ASDs for both LHO and LLO of IMC_X_DQ. Plotted are two nominal times (red/blue lines) when everything is aligned (all the ODC bits are green) and two times (yellow/green) when the WFS are reporting poor alignment (the y-axis is not in counts/rtHz but the units of the channel - m/rtHz (?)). There is no noticeable difference between the four traces on a given plot. For the time being, we feel ok in removing the WFS alignments from the summary bit (as reported) however we plan to do long term studies of what the thresholds for each DOF should be and maybe then they can be re-added to the summary bit.

Question for whoever can answer this - why is LHO so featureless (compared to LLO) and why are the scales (y-axis) so different between sites? Thanks
Images attached to this comment
H1 SEI (SEI)
mitchell.robinson@LIGO.ORG - posted 16:12, Friday 17 January 2014 (9372)
HAM 4 Table Extension
The table extension for HAM 4 has been added.
LHO General
thomas.vo@LIGO.ORG - posted 15:10, Friday 17 January 2014 (9370)
Fred in LVEA @ 2:50 PM PT
Tour of visiting scientists
LHO VE
kyle.ryan@LIGO.ORG - posted 13:41, Friday 17 January 2014 (9368)
~1120 hrs. local -> Started pumping CP4 dewar's (8514372) vacuum jacket with scroll pump


			
			
H1 AOS
thomas.vo@LIGO.ORG - posted 13:38, Friday 17 January 2014 - last comment - 15:09, Friday 17 January 2014(9367)
Andres in LVEA West Bay @ 1:38 PM PT
Searching for parts.
Comments related to this report
thomas.vo@LIGO.ORG - 15:09, Friday 17 January 2014 (9369)
Work finished at 3:09 PM PT
H1 AOS
thomas.vo@LIGO.ORG - posted 13:36, Friday 17 January 2014 (9366)
Corey at EY TMS Lab @ 1:36 PM PT


			
			
H1 AOS
thomas.vo@LIGO.ORG - posted 13:19, Friday 17 January 2014 (9365)
SEI into LVEA at HAM4 @ 1:18 PM PT


			
			
H1 General
thomas.vo@LIGO.ORG - posted 12:45, Friday 17 January 2014 (9364)
Ken/Richard in LVEA @ 12:45 PM PT
Craning to shift the cable trays around HAM2 and HAM3.
H1 AOS (SEI)
mitchell.robinson@LIGO.ORG - posted 12:06, Friday 17 January 2014 (9363)
Keel payload added to ETM-Y
This morning the masses were added to the Keel of the BSC at EY. All SEI serial numbers need to be double checked before cartridge install.
H1 General
thomas.vo@LIGO.ORG - posted 11:11, Friday 17 January 2014 - last comment - 15:35, Friday 17 January 2014(9360)
Fil into LVEA @ 11:11 AM PT
Cable pulling from H1 Electronics room to ISC-R1
Comments related to this report
thomas.vo@LIGO.ORG - 15:35, Friday 17 January 2014 (9371)
Finished work at 3:35 PM PT
H1 IOO (PSL)
kiwamu.izumi@LIGO.ORG - posted 09:54, Friday 17 January 2014 - last comment - 17:52, Friday 17 January 2014(9355)
IMC incident decreased to 100 mW

Stefan, Yuta, Kiwamu

We are currently in a low power state for performing the PRM parking beam search.

Power decreased:

We decreased the IMC incident to approximately 100 mW by rotating the motorized half wave plate. We unlocked the interlock to allow us to rotate it while blocking the main laser pipe just in case. Currently the incident power is at 116 mW at the monitor channel, H1:PSL-PERISCOPE_A_DC_POWERMON. Then we locked the interlock back so that nobody can change the power.

Autolocker modified:

We then changed the ISC_IMC guardian script to adapt it to this lower power configuration. The threshold and in1 gain are increased by a factor of 10. Also all the LSC and ASC triggers are lowered by a factor of 10. We found that increasing the ASC common gain by a factor of 10 made the loops unstable. Therefore we set the common gain to be back at 1 as usual. So far it seems locking fine and stable enough to proceed with the parking beam mission.

Comments related to this report
kiwamu.izumi@LIGO.ORG - 17:52, Friday 17 January 2014 (9375)

Now we are back to 1W since we are done with the PRM parking search. We restored all the settings that we changed.

Displaying reports 77401-77420 of 86500.Go to page Start 3867 3868 3869 3870 3871 3872 3873 3874 3875 End